간단한 독립기초 예제 파일로 독립기초에서 콘크리트 및 거푸집, 철근의 수량을 산출해 보겠습니다.
본문의 내용은 유튜브 동영상으로 보실 수도 있습니다.

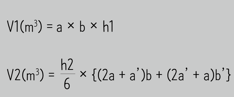
콘크리트의 수량은 체적으로 산출합니다. 다만 독립기초에 경사진 부분이 있으면 한꺼번에 계산할 수 없기 때문에 면적을 나누어서 계산해야 합니다.


위 식처럼 맨 아래쪽의 직사각형 부위와 경사진 부위를 나누어 산출할 수 있습니다. 경사진 부위의 체적을 산출하는 공식은 터파기량을 산정할 때도 적용했던 공식입니다.
공식을 대입하면 다음과 같이 계산할 수 있습니다.
(기초하부) 1.2 × 1.2 × 0.2 = 0.288
(기초경사부) (0.15/6) × ((2 × 1.2+0.3) × 1.2+(2 × 0.3+1.2) × 0.3) = 0.095
(기초상부) 0.3 × 0.3 × 0.6 = 0.054
(합계) 0.288+0.095+0.054 = 0.44 (m³)
거푸집은 콘크리트 표면의 면적으로 산출합니다.

기초 하부는 거푸집을 설치할 필요가 없기 때문에 기초의 옆면만 산출하면 됩니다. 단 경사진 부분은 거푸집을 설치할 때만 산출합니다. 경사면이 완만하면 거푸집을 설치하지 않아도 콘크리트가 흘러내리지 않기 때문에 산출할 필요가 없습니다. 그렇지만 경사가 급하면 콘크리트가 흘러내리지 않도록 거푸집을 설치해야 만 합니다.
보통 경사각도가 30˚를 넘으면 거푸집의 면적을 산출해줍니다. 산출식을 다음과 같습니다.

공식을 대입하면 다음과 같이 계산할 수 있습니다.
이 사례는 경사각도가 30° 미만이므로 경사면 거푸집을 산출할 필요가 없습니다. sinθ = 0.15/0.47 = 0.32 < 0.5
거푸집(m²) = 기초하부 옆면 + 기초상부 옆면
(기초하부) (1.2 + 1.2) × 2 × 0.2 = 0.96
(기초상부) (0.3 + 0.3) × 2 × 0.6 = 0.72
(합계) 0.96 + 0.72 = 1.68 (m²)
독립기초의 양 변의 길이가 다를 경우 장변방향이 힘을 많이 받기 때문에 장변방향의 철근이 주근이 됩니다. 그래서 주근을 산정할 때는 장변방향과 단변방향 철근을 나누어 산출합니다. 철근의 길이와 철근의 개수를 산정할 때는 피복두께(보통 80mm)은 무시하고 계산합니다. 철근은 길이에 개수를 곱해서 산정하므로 철근 종류별로 정리하면 다음과 같습니다.
| 구분 | 길이 | 개수 |
| 장변방향 주근 | 장변의 길이(피복두께 무시) | (단변길이/주근의 간격)올림 + 1 |
| 단변방향 주근 | 단변의 길이(피복두께 무시) | (장변길이/주근의 간격)올림 + 1 |
| 경사보강근 | 피타고라스의 정리 이용 | 도면에 명기된 개수 |
기둥 주근은 기초판에 정착할 때 통상 다리길이를 400 정도로 계산합니다. 기초 하부 철근에 묶어서 세우기 위해서 하부 철근 두 가닥 정도에 걸치도록 400정도로 갈고리의 길이를 산출합니다.

공식을 대입하면 다음과 같이 계산할 수 있습니다. 기초 철근을 계산할 때는 통상 피복두께를 무시합니다.
먼저 기초판의 철근의 산출합니다.
기초판의 길이가 가로 세로 동일하므로 가로근, 세로근, 경사근으로 나누어서 산출하겠습니다.
철근 수량 = 길이 × 개수 이므로
먼저 철근의 개수를 산출하면,
개수 = (배근구간/간격) 올림+1 = (1.2/0.2)올림 +1 = 6 + 1
가로근(D19) 1.2 × 7개 = 8.4m
세로근(D19) 1.2 × 7개 = 8.4m
경사근(D16) √((1.2 × 1.2) + (1.2 × 1.2)) × 6개 =(1.2 × √2 ) × 6개 = 10.181m
도면을 보면 기둥의 주근(8-D22)의 개수는 8개입니다.
기둥 주근은 기초판에 정착할 때 통상 다리길이를 400 정도로 계산하므로
기둥 주근(D22) (9.5+0.4) × 8 = 79.2m
따라서
기초 경사근 (D16) 10.181 × 1.56 = 15.88kg
기초 주근 (D19) (8.4 + 8.4) × 2.25 = 37.8kg
기둥 주근 (D22) 79.2 × 3.04 = 270.77kg
| 슬래브 철근콘크리트 수량 산출 (2) | 2021.02.19 |
|---|---|
| 보 철근콘크리트 수량 산출 (0) | 2021.02.19 |
| 보 철근 수량 산출 (2) | 2021.02.19 |
| 기둥 철근콘크리트 수량 산출 (0) | 2021.02.16 |
| 철근콘크리트 수량산출 기본 (1) | 2021.02.09 |